1 - Organisation pédagogique


➢ Pôle : Sciences, Technologies et Numérique

➢ Domaine : Sciences et Technologies

➢ Mention : Sciences Informatiques et Mathématiques de la Cybersécurité

➢ Spécialité :

➢ Cycle : Licence

➢ Niveau : 2

➢ Semestre : 3

2 - Unité d’enseignement


➢ Code : LSIMAC231

➢ Intitulé : Systèmes d'Information et Audit

➢ Crédit : 11

3 - Elément constitutif


➢ Code : LSIMAC2312

➢ Intitulé : Bases de données

➢ Poids de l’EC au sein de l’UE : 27,27%

➢ Statut : Obligatoire

➢ Nombre de séquences : 6

➢ Nombre d’objectifs généraux : 3

➢ Nombre d’objectifs spécifiques : 17

➢ Durée : 3 semaines

➢ Version : 1.0

➢ Date de création ou de mise à jour : Juillet 2022

4 - Charge de travail


➢ Volume horaire total : 60 heures

➢ Apprentissage supervisé : 36 heures

➢ Travail Personnel de l’Etudiant : 24 heures

➢ Tutorat : 20 heures

➢ Durée apprentissage par semaine :

5 - Modalités


➢ Spatiale : A distance

➢ Temporelle : Mixte (synchrone et asynchrone)

➢ Collaborative : Travail individuel

6 - Objectifs généraux


➢ Comprendre la nécessité d’une base de données

➢ Savoir concevoir une base de données relationnelle

➢ Savoir implémenter une base de données dans un Système de Gestion de Base de Données

7 - Mots-clés


➢ Base de données

➢ Entité

➢ Relation

➢ Association

➢ Modélisation des données

➢ Schéma de base de données

➢ Instance de base de données

➢ Système de Gestion de Base de Données

8 - Prérequis


➢ Se connecter à un ordinateur sous Microsoft Windows

➢ Sécuriser sa session de travail, redémarrer et éteindre un ordinateur

➢ Organiser les données dans un ordinateur

9 - Test d’entrée


Voir fichier joint des travaux dirigés et pratiques

10 - Références Bibliographiques


[1] Jean-Luc Hainaut ; Bases de données : Concepts, utilisation et développement ; Dunod ; 2018 ;https://international.scholarvox.com/reader/docid/88863929/page/1

[2] Christian Soutou, Frédéric Brouard ; Modélisation des bases de données : UML et les modèles entité-association ; Eyrolles ; 4ème édition ; 2017 ; https://international.scholarvox.com/reader/docid/88842073/page/1

[3] Le langage SQL ;https://sql.sh/

11 - Déroulement de l’apprentissage


Titre Durée Code Intitulé (%) Seuil Validation Durée (Heure)
1 Des données à une Base de Données 0.5 jour 11 Définir la notion de donnée 60 4
2 Généralités sur les bases de données 2 jours 21 Expliquer une base de données 50 12
3 Modélisation conceptuelle des données : Modèle Entité-Association 7 jours 31 Recenser les données élémentaires du monde à modéliser pour constituer un dictionnaire de données 60 48
4 Modélisation logique des données : Modèle Relationnel 3 jours 41 Décrire les principes du modèle relationnel 60 6
5 Interrogation d’une base de données : algèbre relationnelle 3 jours 51 Écrire des requêtes d’interrogation d’une base de données relationnelles 60 72
6 Implémentation d’une base de données : Modèle physique 5.5 jours 61 Décrire les principes de la gestion informatisée d’une base de données 60 6
63 Interroger une base de données en langage SQL 75 78


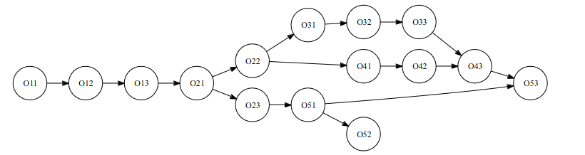
12 - Graphe de précédences entre les objectifs


Graphe de précédences entre les objectifs
Graphe de précédences entre les objectifs

13 - Consignes de travail


➢ Faites le Test d’entrée ; en principe vous devez avoir un score de 80% pour pouvoir continuer mais cette contrainte n’est pas prise en compte.

➢ Le cours est organisé par objectifs qui s’afficheront dès que vous aurez atteint l’objectif courant

➢ Dans chaque objectif, il faut d’abord lire le cours, ensuite la vidéo et enfin les exercices

➢ Le tout premier exercice de chaque objectif est un Test de connaissance auquel votre note doit être égale à au moins à 80%. Vous avez la possibilité de reprendre le test jusqu’à obtenir les 80% sinon vous ne pouvez pas progresser dans votre apprentissage

➢ Les autres exercices sont des exercices de production classiquement appelé Travaux Dirigés ou Travaux Pratiques. Vous devez déposer votre solution pour progresser

➢ Tous les exercices ne sont pas obligatoires et le système vous donnera progressivement les conditions d’accès à chaque exercice. Je vous recommande de faire le maximum !

➢ Vous aurez des séances de travail synchrone avec un tuteur pour des explications en direct